1.弁言
2015年12月14日,环保部宣布(bu)了(le)(le)《HJ 780-2015 泥土和堆积物(wu)无(wu)机元(yuan)(yuan)素(su)的(de)(de)测定(ding)——波(bo)长(zhang)色散X射线(xian)荧光(guang)光(guang)谱法》(以(yi)下(xia)简(jian)称“HJ 780-2015”),正式(shi)(shi)成立了(le)(le)泥土中无(wu)机元(yuan)(yuan)素(su)的(de)(de)检测体(ti)例。2016年中,国务院正式(shi)(shi)向社会公(gong)然(ran)《泥土净(jing)化(hua)(hua)防治步(bu)履打算》(“土十条”)全文,周全增(zeng)强泥土净(jing)化(hua)(hua)的(de)(de)管理。为共同国度展(zhan)开泥土查(cha)验(yan)和管理任务,江苏天(tian)(tian)瑞仪(yi)(yi)器(qi)(qi)股分无(wu)限公(gong)司(以(yi)下(xia)简(jian)称“天(tian)(tian)瑞仪(yi)(yi)器(qi)(qi)”)推出(chu)的(de)(de)WDX4000型波(bo)长(zhang)色散X射线(xian)荧光(guang)光(guang)谱仪(yi)(yi)及其相干利(li)用体(ti)例,可用于(yu)测定(ding)泥土和堆积物(wu)中25种(zhong)无(wu)机元(yuan)(yuan)素(su)和7种(zhong)氧(yang)化(hua)(hua)物(wu),完(wa🥀n)整知足HJ 780-2015规范的(de)(de)利(li)用请求(qiu)。
2.设备介简
WDX4000挨次式波长(zhang)色散X射线荧(ying)光光谱仪是天(tian)瑞仪器(qi)承当的(de)国度(du)严重(zhong)迷信仪器(qi)专项(xiang)名目的(de)研(yan🧔)讨功效,具备完整(zheng)的(de)自(zi)立(li)常识(shi)产权。WDX4000接(jie)纳(na)了(le)大(da)批立(li)异性和通用化的(de)设(she)想,配有40位主动(dong)进样器(qi),机能优良,操纵简洁(jie)。
1)测角(jiao)仪:🍬紧密双轴(zhou),可(ke)出具计量局部校(xཧiao)准(zhun)证书。
2)高压:大功率≥4kW,切换敏捷,机能(neng)不变,毛病率极低。
3)光管𓂃:下照(zhao)🎉式,4kW,Rh靶(ba),配套(tao)双通道光管水冷体系,极大耽(dan)误光管利用寿命;
3)滤光(gu🧸ang)🃏(guang)片:5组(zu),优化设(she)置装备摆设(she)Cu、Al滤光(guang)(guang)片和防(fang)尘滤光(guang)(guang)片;
4)准直器:3个,知(zhi)足客户在丈量(liang)微(wei)量(l𝓀iang)元素时,对分(fen)辩率和(he)强(qiang)🎉度的偏重挑选;
5)晶体:标配(pei)5块晶体,可(ke)以或许实☂(shi)现C6—U92之间元素定性、定量的阐发,还(hai)🔥有(you)选3个空位(wei)可(ke)供定制;
6)探(tan)测器:闪灼探(tan)测器,大线ꩵ性计数(shu)率(lv)3000kcps,流气探(tan)测器,大线性计数(shu)率(lv)ꦺ1500kcps,具备芯线主动洗濯功(gong)效;
7)主动进样器(qi):40位全主动机(ji)器(qi)手(shou)进样器(qi);
8)新版操纵软件,具备现实 a 系数校订、经历α、β、γ系数校订、FP参数校订、谱线堆叠校订、仪器状态监控和壮大的Sqlite公用数据库等功效;
9)独占真(zhen)氛围路(lu)缓冲体系,有(you🐈)用掩护薄膜型样(✤yang)品,在大气颗粒物检测范畴(chou)利用普遍(bian)。
图 1 WDX4000仪器外表图
3.我的第一次高斯模糊
3.1 来尝试大道理
大功率高压(ya)光管发射(she)出(chu)的(de)(de)原级X射(she)线(xian)(xian)(xian),颠末滤光片后,照耀到(dao)样品(pin)外(wai)表,激起(qi)出(chu)样品(pin)中各(ge)元素的(de)(de)特点(dian)(dian)X射(she)线(xian)(xian)(xian)。特点(dian)(dian)X射(she)线(xian)(xian)(xian)颠末一次准直器(qi)准直后平行入射(she)到(dao)分光晶体(ti)上;再由(you)测角仪扫描(miao)出(chu)ඣ合(he)适布拉格衍射(she)前提的(de)(de)特点(dian)(dian)X射(she)线(xian)(xian)(xian)。X射(she)线(xian)(xian)(xian)颠末二次准直器(qi🅘)后,进入探(tan)测器(qi)停止旌旗灯号收罗。经(jing)由(you)进程计较机软件处置后实现定(ding)性(xing)阐发和定(ding)量阐发。
3.2 传奇装备和微生物培养基
装备:WDX4000:波长色散型X射(she)线荧光光谱仪;
阐发天平:精度0.1mg;
主动粉末压片机:压力30吨,保压时候30s;
非金属筛:孔径0.075mm,200目。
试剂:硼酸(H3BO3):阐发纯。
泥土标样(yan🅠g)(yang):市售(shou)有证标样(yang)(yang)GSS1——GSS27;
3.3 原材料前防范
泥土样品的收罗和保管按照HJ/T 166履行,堆积物样品的收罗和保管按照GB17378.3和GB17378.5履行。样品的风干或烘干按照HJ/5 166及GB17378.5相干划定停止操纵。样品烘干后,对样品停止研磨,后过200目非金属筛,于105℃烘干备用。
称量5.0g样品于压片机模具中,以硼酸镶边、垫底,在压片机上以30吨压力,保压30秒的前提压抑成≥7mm的薄片。制成如图 2、图 3的薄片。样品外表要光滑,不能有粉末零落。
图2 压片样品正面图
图3 压片样品正面图
3.4 重任线性的公司设立和供试品仗量
在配套软件中新建泥土任务区,设置HJ780-2015中25种无机元素和7种氧化物,软件主动天生每一个元素响应的测试参数,而后对每一个元素的现实角度和PHA参数停止零丁设定。仪器参数设定实现后,对有证标样一一测试,获得每一个元素的净强度,便可成立含量与强度的任务曲线。泥土成份较为庞杂,在拟合曲线进程中,良多元素之间存在彼此搅扰,须要对其作基体、谱线堆叠等校订或接纳内标法等手腕从头拟合曲线,获得优良的线性干系曲线。而后对样品停止检出限、精确度和不变性等方面的测试。
4. 测试图片课题
4.1 查出限
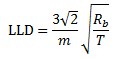
按照所优化的尝试前提,泥土样品中各阐发元素的检出限如 REF
_Ref511912484 \h 表 1,检出限的数学抒发式为:
式中:m为单元含量的计数率;Rb为背景计数率;T为峰值和背景的总丈量时候(s)。由表可见,不管是氧化物仍是含量极低无机元素,均知足HJ780-2015规范中对泥土检出限的划定。检出限规范见规范附录A。
表 1检出限测试成果
|
序号
|
元素/氧化物
|
检出限
|
检出限规范
|
鉴定
|
序号
|
元素/氧化物
|
检出限
|
检出限规范
|
鉴定
|
|
1
|
Na2O
|
0.0468
|
0.05
|
及格
|
17
|
Ni
|
1.16
|
1.5
|
及格
|
|
2
|
MgO
|
0.0444
|
0.05
|
及格
|
18
|
Cu
|
1.08
|
1.2
|
及格
|
|
3
|
Al2O3
|
0.0632
|
0.07
|
及格
|
19
|
Zn
|
1.92
|
2
|
及格
|
|
4
|
SiO2
|
0.158
|
0.27
|
及格
|
20
|
Ga
|
1.52
|
2
|
及格
|
|
5
|
P
|
8.05
|
10
|
及格
|
21
|
As
|
1.78
|
2
|
及格
|
|
6
|
S
|
26.37
|
30
|
及格
|
22
|
Br
|
0.89
|
1
|
及格
|
|
7
|
Cl
|
18.52
|
20
|
及格
|
23
|
Rb
|
1.83
|
2
|
及格
|
|
8
|
K2O
|
0.0412
|
0.05
|
及格
|
24
|
Sr
|
1.90
|
2
|
及格
|
|
9
|
CaO
|
0.0816
|
0.09
|
及格
|
25
|
Y
|
0.81
|
1
|
及格
|
|
10
|
Sc
|
2.28
|
2.4
|
及格
|
26
|
Zr
|
1.89
|
2
|
及格
|
|
11
|
Ti
|
48.15
|
50
|
及格
|
27
|
Ba
|
8.63
|
11.7
|
及格
|
|
12
|
V
|
3.36
|
4
|
及格
|
28
|
La
|
9.82
|
10.6
|
及格
|
|
13
|
Cr
|
2.88
|
3
|
及格
|
29
|
Ce
|
23.85
|
24.1
|
及格
|
|
14
|
Mn
|
6.46
|
10
|
及格
|
30
|
Hf
|
1.52
|
1.7
|
及格
|
|
15
|
Fe2O3
|
0.0432
|
0.05
|
及格
|
31
|
Pb
|
1.73
|
2
|
及格
|
|
16
|
Co
|
1.09
|
1.6
|
及格
|
32
|
Th
|
1.74
|
2.1
|
及格
|
注:1.元(yuan)素品质(zhi)分数(shu)单(dan)元(𓃲yuan)为(wei)mg/kg;氧化物品质(zhi)分数(sh🍬u)单(dan)元(yuan)为(wei)%;
4.2 精密度
按照规范请求,对每批样品阐发应最少测定1个泥土或堆积物的有证规范物资,其测定值与有证规范物资的绝对误差必须知足对应前提。精确度鉴定规范见HJ780-2015规范中表1。挑选有证规范物资GBW07408(GSS-8)作精确度测试。测试成果如 REF _Ref511912462 \h 表 2。表中(zhong)所计较(jiao)大局部精确度🍎(du)成(cheng)果均远(yuan)低于HJ780-2015中(zhong)对精确度(du)的(de)目标值。
表2 精确度测试成果
|
序号
|
元素/氧化物
|
丈量值
|
规范值
|
精确度
|
鉴定规范
|
鉴定
|
|
1
|
Na2O
|
1.76
|
1.72
|
0.00998
|
0.07
|
及格
|
|
2
|
MgO
|
2.348
|
2.38
|
0.0058
|
0.07
|
及格
|
|
3
|
Al2O3
|
11.62
|
11.92
|
0.011
|
0.05
|
及格
|
|
4
|
SiO2
|
58.93
|
58.61
|
0.0023
|
0.05
|
及格
|
|
5
|
P
|
791.31
|
775
|
0.009
|
0.1
|
及格
|
|
6
|
S
|
116.986
|
120
|
0.011
|
0.1
|
及格
|
|
7
|
Cl
|
87.344
|
70
|
0.096
|
0.1
|
及格
|
|
8
|
K2O
|
2.52
|
2.42
|
0.0175
|
0.07
|
及格
|
|
9
|
CaO
|
8.248
|
8.27
|
0.00115
|
0.07
|
及格
|
|
10
|
Sc
|
11.126
|
11.7
|
0.0218
|
0.1
|
及格
|
|
11
|
Ti
|
3642.136
|
3835.8
|
0.0225
|
0.1
|
及格
|
|
12
|
La
|
31.274
|
35.5
|
0.055
|
0.1
|
及格
|
|
13
|
Ba
|
444.23
|
480
|
0.0336
|
0.1
|
及格
|
|
14
|
V
|
72.55
|
81.4
|
0.0499
|
0.1
|
及格
|
|
15
|
Ce
|
56.1
|
66
|
0.0706
|
0.12
|
及格
|
|
16
|
Mn
|
659.448
|
650
|
0.0063
|
0.1
|
及格
|
|
17
|
Cr
|
69.66
|
68
|
0.0105
|
0.1
|
及格
|
|
18
|
Fe2O3
|
4.186
|
4.48
|
0.0295
|
0.07
|
及格
|
|
19
|
Co
|
14.174
|
12.7
|
0.0477
|
0.1
|
及格
|
|
20
|
Ni
|
28.692
|
31.5
|
0.0405
|
0.1
|
及格
|
|
21
|
Hf
|
7.164
|
7
|
0.01005
|
0.1
|
及格
|
|
22
|
Cu
|
25.49
|
24.3
|
0.0207
|
0.1
|
及格
|
|
23
|
Zn
|
68.144
|
68
|
0.00092
|
0.1
|
及格
|
|
24
|
Ga
|
15.54
|
14.8
|
0.0212
|
0.1
|
及格
|
|
25
|
As
|
15.096
|
12.7
|
0.075
|
0.1
|
及格
|
|
26
|
Br
|
2.102
|
2.6
|
0.092
|
0.12
|
及格
|
|
27
|
Pb
|
18.376
|
21
|
0.058
|
0.1
|
及格
|
|
28
|
Th
|
14.842
|
11.8
|
0.0996
|
0.1
|
及格
|
|
29
|
Rb
|
94.03
|
96
|
0.009
|
0.1
|
及格
|
|
30
|
Sr
|
236.892
|
236
|
0.0016
|
0.1
|
及格
|
|
31
|
Y
|
28.196
|
26
|
0.035
|
0.1
|
及格
|
|
32
|
Zr
|
243.124
|
229
|
0.026
|
0.1
|
及格
|
注:元素品质分数单元为mg/kg;氧化物品质分数单元为%。
4.3 保持不变性
挑选某样品停止不变性测试。天天测试一次,持续测试两周,测试一切元素的绝对规范误差均知足规范HJ780-2015中对不变性的请求。摘取局部测试数据列于表 3。鉴定规(gui)范(fan)见HJ780-2015规(gui)范(fan)中附录E.1。
表3 局部元素不变性测试数据
|
次数\元素
|
MgO
|
Fe2O3
|
P
|
S
|
Cl
|
As
|
Br
|
Pb
|
|
1
|
1.80
|
4.21
|
783.74
|
157.86
|
46.21
|
16.77
|
2.49
|
4.34
|
|
2
|
1.79
|
4.21
|
778.44
|
161.03
|
46.94
|
17.82
|
2.76
|
4.49
|
|
3
|
1.78
|
4.19
|
786.01
|
159.13
|
45.98
|
15.58
|
2.59
|
4.73
|
|
4
|
1.79
|
4.21
|
786.01
|
161.66
|
45.16
|
17.05
|
2.49
|
4.31
|
|
5
|
1.78
|
4.21
|
781.47
|
154.05
|
46.9
|
17.37
|
2.62
|
4.61
|
|
6
|
1.78
|
4.22
|
784.50
|
157.22
|
47.81
|
16.97
|
2.78
|
4.35
|
|
7
|
1.79
|
4.21
|
788.28
|
155.32
|
44.98
|
16.31
|
2.64
|
4.53
|
|
8
|
1.78
|
4.22
|
792.07
|
159.13
|
48.16
|
18.06
|
2.78
|
4.41
|
|
9
|
1.79
|
4.20
|
790.55
|
161.66
|
45.07
|
15.64
|
2.68
|
4.28
|
|
10
|
1.78
|
4.20
|
779.20
|
160.41
|
46.63
|
17.01
|
2.82
|
4.32
|
|
均匀值
|
1.78
|
4.21
|
785.70
|
158.74
|
46.38
|
16.66
|
2.67
|
4.44
|
|
规范误差
|
0.007
|
0.009
|
4.53
|
2.63
|
1.11
|
1.02
|
0.12
|
0.15
|
|
RSD(%)
|
0.39
|
0.22
|
0.58
|
1.66
|
2.40
|
6.10
|
4.50
|
3.35
|
|
鉴定规范
|
≤0.4
|
≤0.9
|
≤1.2
|
≤4.6
|
≤2.6
|
≤9.2
|
≤8.3
|
≤4.4
|
|
鉴定
|
及格
|
及格
|
及格
|
及格
|
及格
|
及格
|
及格
|
及格
|
注:元素品质分数单元为mg/kg;氧化物品质分数单元为%。
5. 学术观点
打(da)算利用WDX4000别离对泥土(tu)堆(dui)积物中无(wu)机元素停止了检出(chu)限(xian🌞)、精确度、不(bu)变性(xing)等名目的(de)测(ce💦)试。测(ce)试成果标明WDX4000完(wan)整知足环(huan)保部(bu)《HJ
780-2015 泥土(tu)和堆(dui)积物无(wu)机元素的(de)测(ce)定——波长(zhang)色散X射(she)线(xian)荧光光谱(pu)法(fa)》规范(fan)的(de)请求,完(wan)整可(ke)利用于(yu)环(huan)保局部(bu)(泥土(tu)品质状态的(de)阐发(fa)与(yu)评价)、泥土(tu)管理修(xiu)复企(qi)业(ye)(为接纳(na)具备针(zhen)对性(xing)的(de)管理打(da)算供(gong)给(ji)靠得住数(shu)据)、第三方检测(ce)机构等相干局部(bu)企(qi)业(ye)。